Pinjaman Uang Muka Perumahan (PUMP) Jamsostek


Bagi Karyawan swasta, pemerintah menyediakan sebuah program untuk memudahkan karyawan swasta untuk memiliki rumah yang layak.

Namun karena sifatnya adalah pinjaman, berarti konsekuensinya pun harus ada pengembalian. Jumlah nilainya bisa dikonfirmasi lebih jauh ke Bank terkait, yaitu :

    Bank BTN
    Bank Bukopin
    Bank BNI
    Bank Syariah Mandiri

Jamsostek bertujuan untuk membantu menyediakan dana awal uang muka KPR kepada tenaga kerja peserta Jamsostek untuk mendapatkan fasilitas Kredit Pemilikan Rumah dari Bank.

    Jangka waktu pnjaman adalah maksimal 15 tahun
    Suku bunga efektif adalah 6% per tahun
    Besaran pinjaman bervariasi tergantung besaran upah yang diterima karyawan setiap bulannya :

Yaitu

– s.d 5 juta = maksimal pinjaman Rp. 20 juta
– 5 juta s.d 10 juta = maksimal pinjaman Rp. 35 juta
– di atas 10 juta = maksimal pinjaman Rp. 50 juta

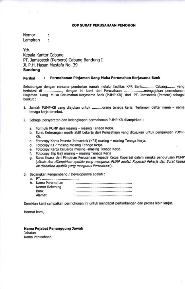
Berikut beberapa PERSYARATAN, URAIAN PROSES dan BEBERAPA FORMULIR yang perlu dilengkapi, bisa dicopy untuk bahan referensi.

Image

Image

Image

Image

Image

Sekian informasi jmsostek dari saya, insya Allah ada informasi berikutnya yg bisa saya berikan..

9 pemikiran pada “Pinjaman Uang Muka Perumahan (PUMP) Jamsostek

  1. Apakah Anda membutuhkan pinjaman? jika ya hubungi kami melalui email: ryankingfinancials*******@gmail.com

    jawab :
    saya rekomendasikan agar bapak untuk pinjaman KPR saja pak.. kan agunannya rumah toh ?
    bunganya berapa persen pak ?

  2. Pak bisa Engga says pijam but do rumah, mohon info nya selanjut nya dgn siap

    jawab :
    jamsostek bisa digunakan paling cepat awal januari 2014 pak.. skg sdg perubahan ke BPJS

  3. untuk program pinjaman sementara ga bisa cair ya gan,,katanya gara² ada perubahan jaminan kesehatan…bener ga gan, soalnya aku mo pinjam kata developer sejak september 2013 udah ga bisa…mohon infonya

    Jawab : bukan ga bisa pak.. betul hanya sementara sj nanti bs lagi, katanya bs tahun depan..

  4. Apakan dengan adanya Pinjaman Uang Muka Perumahan (PUMP) Jamsostek, akan berdampak pada pembayaran angsuran cicilan rumah atau tidak, karena dengan meminjam UM dulu kita harus membayar dua angsurannya yaitu membayar angsurang UM ke jamsostek juga membayar angsurang rumah.. mohon penjelasannya.

  5. sy sdh prnh jd peserta jamsostek selama 2 thn ,tp kmdn vakum 4 thn (keluar kerja), mulai kerja lg 2013 melanjutkan peserta jamsostek, itu kira2 bias ga ya pengajuan sy disetujui?

    1. Wah saya belum bisa jawab pak…
      mungkin bisa langsung ke kantornya

      Kantor Cabang Bandung I
      Gedung Soilens Lt. III

      Jl. P. Hasan Mustofa No. 39

      Bandung 40124

      Tel. (022) 7275736, 7204486, 7102733

      Fax. (022) 7275570, 7275810

Silahkan jika ada pertanyaan dan informasi lainnya