Punya tanah, dana terbatas untuk membangun ? Mudah, nyicil pun bisa


Punya tanah, belum ada dana untuk membangun ? Mudah, nyicil pun bisa.

batu-bata-merah

Umumnya membeli sebuah rumah bisa dengan KPR, namun kali ini jika punya tanah pun namun belum ada dananya bisa dengan cara mencicil, asalkan memenuhi beberapa syarat.

Beberapa hal yang menjadi catatan, hal ini baru Ipbblog dapatkan informasi lengkapnya, karena Ipbblog sudah menyempatkan diri bertemu dengan marketingnya. Tepatnya dari BRI syariah. Beberap hal tsb antara lain :

  1. dari RAB tsb harus memiliki dana real 30% terlebih dahulu,
  2. biaya membangun maksimal setara dengan harga tanah (dilihat dari NJOPnya)
  3. kumpulkan dulu persyaratannya, baru nanti disurvey
  4. Dana cair setelah IMB dan surat-surat tanah dan bangunan selesai dibuat.
  5. cicilan flatt

Jika ingin membangun sendiri juga bisa, asal sertakan RABnya. Namun jika ingin menggunakan jasa Ipbblog juga bisa. Ipbblog bisa merealisasikan keinginan anda dengan beberapa kemudahan, karena sambil berjalannya waktu, Ipbblog sudah mulai menemukan tim dalam hubungannya dengan bangun membangun rumah. Kemudahannya adalah :

  • Ipbblog sudah ada notaris yang baik, jujur dan pastinya harga bisa bersaing. Sehingga untuk mengurus sertifikat dan IMB Ipbblog siap memberikan kemudahan mulai dari tahapan surat-surat.
  • Ipbblog sudah ada arsitek, yang siap mendesain rumah anda sesuai keinginan anda, serta siap sampai membuatkan nilai RAB secara lengkap
  • Ipbblog sudah mengenal pemborong yang murah dan berkualitas baik dan bergaransi.

Adapun persyaratan untuk mencicilnya :

  • Fotokopi KTP (suami-istri)
  • Fotokopi KK
  • Fotokopi surat nikah
  • Fotokopi NPWP
  • Fotokopi SK kerja
  • Slip gaji 3 bulan terakhir
  • Fotokopi sertifikat yang ada terakhir
  • Fotokopi PBB
  • Fotokopi rekening tabungan 4 bulan terakhir
  • RAB

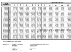
Berikut tabel cicilannya :

KPR konstruksi

Jika berminat, hubungi

dwima 0857-5155-9808

34 pemikiran pada “Punya tanah, dana terbatas untuk membangun ? Mudah, nyicil pun bisa

  1. Ass pak sy py tanah 100 mtr tp sy sudah buat pondasi rumh ukuran 6×9m tp skrg bgunan itu sy blm trusin d karnakan dana’y g adalgi.kira2 bs ga sy ngajuin pinjaman 100 jt, tp pnghsilan sy 4jtan perbln.tolong impormasinya pa trmks.was

    jawab :
    Sementara kontraktor terkait sedang fokus ke perumahan di sindanglaya pak..
    jadi belum bisa memberikan kredit lebih dulu

  2. Assalamu’alaikum pak..suami saya punya tanah sdh SHM di jl pesantren kab cimahi(TTUC),luasnya sekitar 14x10m rencana sy ingin membuat 3 bangunan rmh minimalis utk dikontrakan kira2 msg2 brp meter yg diperlukan jk ingin dibuat 2 lt..brp kira2 estimasi biayanya ya pak krn mgkn sebagian biaya sy ingin mengajukan kredit.

  3. Assalamu’alaikum

    Saya punya lahan 215m SHM di daerah Ciguruwik, Cinunuk.. bila penghasilan saya di angka 3,5 jt tanpa cicilan apapun, berapa maksimal dana yang bisa saya dapatkan untuk bangun rumah baru untuk jangka waktu maksimal 10 tahun? Hatur nuhun.

    Wassalamu’alaikum

    jawab :
    wa’alaikum salam..
    artinya kemampuan cicilan di 1 jutaan.
    dan dana yg bisa diperkirakan adalah sekitar 100 juta

  4. Pak saya mau tanya..kan saya tanah kosong ada cuma belom sertifikat di daerah gunung sindur bogor..itu klau saya mau mengajukan pinjaman uang..harus pakai DP nggak pak

    jawab :
    pakai pak.. minimal 10%

  5. Maaf mau tanya, saya ada tempat tingga 4 tumbak (1lantai), ingin di renovasi total jadi 2 lantai. Dana yang saya punya hanya sekita 30% dari perkiraan budget anggaran membangun. tapi keadaan rumahnya masih menyatu dgn rumah utama orang tua, sertifikat/ajb nya jg masih dengan orang tua. saya ingin dibangun dan dipisahkan dr rumah utama milik orang tua saya. bagaimana kalau seperti itu?
    lokasinya di setiabudi bandung. tidak masuk mobil tapi akses utk masuk mobilnya tdk jauh. harga beli rumah didaerah situ sdh sangat tinggi.

    jawab :
    sertifikat minimal HGB, lebih mudah SHM
    Ajb bank belum bisa terima

  6. Assalamualaikum…saya punya lahan 1,5Ha berupa kebun kelapa aktif. D kawasan polewali mandar,sulawesi barat.
    Rencana kami ingin membangun sebuah kompleks perumahan tp terkendali modal. Diskusinya apa ya??

    Terima kasih

    jawab :
    kerja sama dengan developer pak

  7. Kalau untuk daerah subang pengajuannya kemana ya atau bank lain yang bisa membantu?

    jawab :
    sejauh ini baru BRI syariah dan BMT bintaro

  8. As pa saya punya tanah 3,5 tmbk poisisi memnjng ,, surat” akte blm srtifikat,, sya pengn bngun tapi tdk ada dananya, bp bisa bntu, penghasiln saya 2,5 perbln ,, lokasi bandung barat, di buni sari blkng pbrik ultra posisi tanh di dalam perkampungan, tapi maaf saya gak punya sk, tapi saya gak punya cicilan apapun

    jawab :
    bagusnya di SHm kan dulu.
    apakah masuk mobil ?
    jika masuk mobil bisa manfaatkan fasilitas BMT dalam pembangunan

  9. maaf p mau tnya klo rumahny masih nyicil bs g ngajuin kredit renov rumah biar bs dtmptn. mksh

    jawab :
    rumah masih nyicil tidak bisa pak

  10. Malam gan..saya punya tanah dengan luas 70 m2..kira” 5 tumbak ya..didaerah cikutra bandung..tanah sertifikat dan dah ada imb..
    Saya ingin bangun rumah dengan KPR..tp kalo boleh bunganya yg murahan lah..rencana 2 lt..
    1. Bagaimana caranya mendapatkan dana tersebut
    2. Apakah developer ditunjuk oleh agan ato boleh pakai yg saya punya..
    3. Berapa % bunga pertahunya..flat berapa tahun..kalo bisa 3-5 tahun pertama.
    4. Berapa % dana yg akan dicairkan dari RAB yg saya ajukan.

    jawab :
    ajukan ke BMT syariah di jalan kliningan Buah batu..
    jika perlu jasa RAB, hubungi ipbblog di email : perumahandibandung@gmail.com

  11. Saya punya tanah sudah bikin pendasi,mau bangun lagi belum punya dana,ukuran rumah 6×6 naik keatas ,atau ditingkat,saya mencari dana tapi dengan cara dicicil !

    jawab :
    tupe 36 ya pak..
    dengan per meter 3,5 juta
    sertifikat apa pak ? SHM ?
    rumah masuk mobil ?

  12. Pa sy pnya tnah kosong msh AJB daerah batujajar bandung barat mau d bngun rumah. skrng baru pondas. Sy minta bantuany krn kterbatasan dana. Sy karyawan swasta. No hp: 085794274100

    jawwab :
    cicil ke bank harus jadi HGB atau SHM dulu pak

  13. sy pny tanah 14×10 m daerah ujungberung,,,, ingin dbangun ukuran 7×7 sisanya taman,,,, perlu brp biayanya????? surat2 masih ajb atas nama saya,,,,, penghasilan sy 2,5 jt/bln,,,, klo bsa dbantu tolong hubungi sy,,,, 085860146004

    jawab :
    2,5 juta tsb bersih tidak ada cicilan lainnya spt motor / rumah ?
    kalo tidak ada, tahapannya :
    1. tingkatkan dulu sertifikatnya ke SHM
    2. akan diajukan dari kontraktor utk membuat IMB dan RAB
    3 penghasilan 2,5 juta maksimal kredit 50 jutaan, dengan perkiraan luas bangunan tidak sampai 7 x 7

  14. Maaf pa mau tanya barangkali punya contack notaris dgn biaya terjangkau.. Kebetulan sy beli rumah tp belum balil nama sertifikat.. Trims..

    jawab :
    +62 821-1794-1944
    ibu lina

  15. mas saya punya rumah luas 120m2 tp belum ada dana nya… kalo membangun membutuhkan dana berapa ya mas untuk ukuran minimalis.. dan bagaimana pengajuan dana ke bank nya?
    terima kasih mohon dibantu

    jawab :
    dwima 0857-5155-9808

  16. gan sy mau bangun rumah di daerah pandaan jawa timur tp dana terbatas,apa lagi blm bersertifikat mohon solusinya gan,apa bisa

  17. M’f pak sayaa punya rumah pemberian mertua dengan ukuran kurang lebih 5×5 hanya kamar dan ruang tv sertifikat masih a.n ortu,kamar mandi ikut sama orang tua alamat jln pesantren sukamiskin arcamanik bandung,saya berniat ingin membangunnya seprti rumah yg layak huni,saya tertarik dengan iklan bapak saya seorang karyawan dengan penghasilan sebulan 2jt,jikalau berkenan mohon infonya,bapak bisa hubungi saya di no: 087823361960 terima kasih mohon balasan nya

    jawab :
    kontak
    dwima 0857-5155-9808
    BRI syariah cabang citarum no. 4, bandung

  18. Aku punya tanah cukup buat 5 rumah tap mau bangun satu rumah aja gmn ya caranya mau kpr in biaya pembangunan nya aja mohon bantuannya ke hp 085224423977 di daerah ciparay majalaya bandung.makasih sebelumnya .

    jawab :
    apakah pinggir jalan raya bu ?

  19. tolong bantuannya dalam pengurusan surat tanah,saya beli tanah tapi belum ada surat2nya.mohon bantuannya
    ni no. hp saya 085229298***
    Trim’s.,.,

    jawab :
    saya sudah berikan nomor bapak ke notaris.. nanti insyaAllah dihubungi

  20. Mau Tanya klo mau nyicil buat membangun Rumah di atas Tanah sendiri itu, nyicil na ke bank atau ke pemborong Nya ? Sy Wiraswasta bisa mengajukan cicilan tersebut? Terima kasih

    jawab :
    ke bank pak.. pemborong hanya membantu melaksanakannya dan mampu membuat RAB spt yg diminta bank dalam hal membangun rumah

  21. saya berencana mau pindah ke kota bandung.ingin beli rumah secara kpr dg harga max 250jt tapi ingin yg lingkungannya agamis maksudnya di daerah tersebut kegiatan keagamaannya makmur.dekat dengan sarana pendidikan TK dan SD (aksesnya mudah).Saat ini saya sedang menempuh pendidikan di pasca UNPAS (kemudahan akses ke UPI dan Kampus Pasca UNPAS jg bisa dipertimbangkan).terimakasih

    jawab :
    taman ciputri indah bu..lembang
    tapi saya belum dapat info lebih lanjut

  22. Kalo kpr rumah second harus ada uang mukanya pak. Kalo pinjam uang kand ga perlu pake uang muka.

    jawab :
    KPR rumah second harus ada UMnya juga pak..
    kalo yg saya berikan dalam artikel ini adalah pinjam uang utk membangun rumah pak

    1. iya maka’y saya ga mau kpr karena belum punya uang muka’y pak. Kalo pinjam uang kand ga perlu pke uang muka. Kalo bisa insya 4JJ1 cicilan’y saya sanggup pak.

      jawab :
      oh kalo bangun rumah gak perlu UM, tapi kalo beli rumah harus ada UM

  23. M’f ga kalo saya pinjam uang’y buat beli rumah second bisa ga ? saya belum punya tanah.

    jawab :
    kalo beli rumah second pakai KPR rumah pak.. Kpr membangun itu bunganya lebih besar pak..

  24. saya punya tanah 6,5 tumbak, suratnya masih AJB. Kalo mau bangun rumah di atas tanah tersebut sampai nanti disertifikatkan, kira2 butuh biaya berapa yah?

    jawab :
    Saya gak bisa pastikan..
    tapi hitungan kasarnya seperti ini
    berapapun luasnya bangunannya sekitar 2,3 juta sampai lebih per meter (harga terbaru terkait kenaikan harga bahan bangunan)
    Jika ambil luas bangunan 36 x 2,3 =82.800.000
    kemudian surat-surat, RAB, notaris saya tidak tau persisnya, ambil saja kasarnya 10-15 juta.
    Jadi total minimal = 92.800.000 sampai 97.800.000

    Masih hitungan kasar (tergantung RABnya dan notaris dalam menentukan harga, karena imb dan tanah AJB dengan luas berbeda pasti nilainya berbeda.

  25. Cibiru. Lebih jelasnya sy nanti kontak no telp yg diatas. Trims ya info nya

    jawab :
    ok pak, ditunggu 🙂

  26. klo untuk pengurusan sertifikat apakah bs dibantu?
    sy beli tanah dari tante saya sudah lama sih, nah ternyata tanah tsb masih ajb antara pemilik awal&tante saya. jadi untuk pengurusan harus buat warkah dulu. mungkin ipbblog bisa bantu?

    jawab :
    lokasinya di mana pak..
    insyaAllah bisa percayakan kepada kami 🙂

Silahkan jika ada pertanyaan dan informasi lainnya