Hanya dengan uang muka Rp. 10 juta (belum termasuk biaya proses bank-5 s.d 7% dari plafon KPR), bagi pembaca IPBblog yang memiliki penghasilan Rp. 12 jutaan / perbulan bisa memiliki rumah yang eksklusif ini. Jika ingin lebih mudah lagi, bagi yang memiliki penghasilan join income (suami-isteri) akan lebih mudah lagi untuk segera memiliki rumah idaman ini.
Perumahan eksklusif di pusat kota dengan one gate system, hanya 200 meter ke jalan raya AH. Nasution. Walau dengan harga yang relatif tinggi, tetapi sebanding dengan nilai investasinya.
Akses tol yang mudah untuk menuju pasteur menambah nilai lebih bagi perumahan ini. Tersedia mulai tipe 29+ hingga tipe besar 2 lantai.
Jalan masuknya tepat setelah jalan jatihandap, yaitu masuk melalui jalan atput. Nanti pembaca IPBblog akan melihat di sisi kiri jalan atput, pintu masuk perumahan city garden residence, yang eksklusif.
Fasiltas yang ada tidak perlu diragukan lagi, banyaknya minimarket, supermarket, pertokoan, Mall hingga sarana kesehatan. Sangat mudah dan dekat jika ingin berwisata ke daerah bandung utara, sehingga menjadikan perumahan ini sangat tepat bagi pembaca IPBblog yang ingin mendapatkan segala kemudahan.
Berikut daftar harganya :
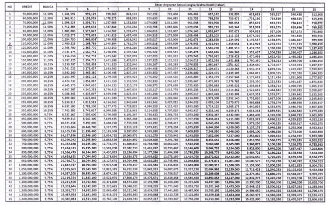
Cicilannya bisa dilihat di daftar KPR BTN :

Misal KPR Rp. 402.116.300
Pada tabel BTN ambil yang plafond KPR (cicil 25 thn) Rp. 400 juta (cicilan = Rp. 3.601.900)
Maka cicilan harga Rp. 402.116.300 adalah = (402.116.300/400.000.000) x 3.601.900 = Rp. 3.620.955.
Menurut info, daftar harga tersebut adalah untuk unit yang masih tersedia, namun tidak tertutup kemungkinan sudah ada yang membelinya. So.. perlu dipertimbangkan kembali jika harus menundanya. semakin lama stok semakin berkurang.
Berikut site plan blok B, C dan E
Untuk info lebih jelas, silahkan hubungi contact person marketingnya,
Marketing :
Bambang 0856-59-397-669
Dan.. yuk kita diskusi di kolom komentar di bawah, atau email ke perumahandibandung@gmail.com





Satu pemikiran pada “City Garden Residence, Cicaheum”